벌써 주말이 다 지나갔네요.. 씁쓸ㅠㅠ
이제 다시 평일로 돌아갑니다 흑흑 이제 시험도 다가오고있죠!! 다들 마저 공부 화이팅하세요
코로나 조심하시고 마스크 꼭쓰세요..
일단 책을 구매 못하신분은.. 없겠죠? 있으면 책은 꼭 구매해주세요! 다들 마스크 쓰고 도서관 갑시다!!
1. SQL에서 VIEW를 삭제할 때 사용하는 명령은?
① ERASE ② KILL
❸ DROP ④ DELETE
2. 다음 릴레이션의 Degree와 Cardinality는?

❶ Degree : 4, Cardinality : 3
② Degree : 3, Cardinality : 4
③ Degree : 3, Cardinality : 12
④ Degree : 12, Cardinality : 3
3. 모든 응용프로그램이나 사용자들이 필요로 하는 데이터를 통합한 조직 전체의 데이터베이스 구조를 논리적으로 정의하는 스키마는?
❶ 개념스키마 ② 외부스키마
③ 내부스키마 ④ 처리스키마
4. 병행제어의 목적으로 옳지 않은 것은?
① 시스템 활용도 최대화
② 사용자에 대한 응답시간 최소화
❸ 데이터베이스 공유 최소화
④ 데이터베이스 일관성 유지
5. 한 릴레이션의 기본 키를 구성하는 어떠한 속성 값도 널(Null) 값이나 중복 값을 가질 수 없음을 의미하는 것은?
❶ 개체 무결성 제약 조건
② 참조 무결성 제약 조건
③ 도메인 무결정 제약 조건
④ 키 무결성 제약 조건
6. 학적 테이블에서 전화번호가 Null값이 아닌 학생명을 모두 검색할 때, SQL 구분으로 옳은 것은?
① SELECT 학생명 FROM 학적 WHERE 전화번호 DON'T NULL;
② SELECT 학생명 FROM 학적 WHERE 전화번호 != NULL;
❸ SELECT 학생명 FROM 학적 WHERE 전화번호 IS NOT NULL;
④ SELECT 학생명 FROM 학적 WHERE 전화번호 IS 0;
7. 제2정규형에서 제3정규형이 되기 위한 조건은?
❶ 이행적 함수 종속 제거
② 부분적 함수 종속 제거
③ 다치 종속 제거
④ 결정자이면서 후보 키가 아닌 것 제거
8. 뷰에 대한 설명으로 옳지 않은 것은?
① 뷰는 삽입, 삭제, 갱신 연산에 제약사항이 따른다.
② 뷰는 데이터 접근 제어로 보안을 제공한다.
❸ 뷰는 물리적으로 구현되는 테이블이다.
④ 뷰는 데이터의 논리적 독립성을 제공한다.
9. 시스템 카탈로그에 대한 설명으로 틀린 것은?
① 시스템 카탈로그는 DBMS가 생성하고 유지하는 데이터베이스 내의 특별한 테이블들의 집합체이다.
② 일반 사용자도 시스템 카탈로그의 내용을 검색할 수 있다.
③ 시스템 카탈로그 내의 각 테이블은 DBMS에서 지원하는 개체들에 관한 정보를 포함한다.
❹ 시스템 카탈로그에 대한 갱신은 데이터베이스의 무결성 유지를 위하여 사용자가 직접 갱신해야 한다.
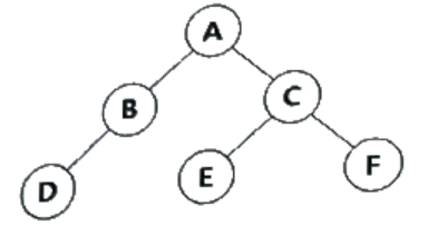
10. 다음 트리를 후위 순회(Postorder Traversal)한 결과는?

① A B D C E F ② D B A E C F
③ A B C D E F ❹ D B E F C A
11. 데이터베이스 설계 단계 중 응답시간, 저장공간의 효율화, 트랜잭션 처리도와 가장 밀접한 관계가 있는 것은?
❶ 물리적 설계 ② 논리적 설계
③ 개념적 설계 ④ 요구조건 분석
12. Which of the following does not belong to the DDL statement of SQL?
① CREATE ❷ DELETE
③ DROP ④ ALTER
13. 스택에서 A, B, C, D로 순서가 정해진 입력 자료를 Push→Push→Pop→Push→Pop→Push→Pop→Pop으로 연산 했을 때 출력은?
① C, B, D, A ❷ B, C, D, A
③ B, C, A, D ④ C, B, A, D
14. 해싱함수 중 주어진 키를 여러 부분으로 나누고, 각 부분의 값을 더하거나 배타적 논리합(XOR : Exclusive OR) 연산을 통하여 나온 결과로 주소를 취하는 방법은?
① 중간 제곱 방법(Mid-square method)
② 제산 방법(Division method)
❸ 폴딩 방법(Folding method)
④ 기수 변환법(Radix conversion method)
15. 관계 데이터베이스에 있어서 관계 대수 연산이 아닌 것은?
① 디비전(division) ② 프로젝트(project)
③ 조인(join) ❹ 포크(fork)
16. 다음 자료를 버블 정렬을 이용하여 오름차순으로 정렬할 경우 PASS 1의 결과는?
초기 : 9,6,7,3,5
① 6, 9, 7, 3, 5 ② 3, 9, 6, 7, 5
③ 3, 6, 7, 9, 5 ❹ 6, 7, 3, 5, 9
17. 비선형 자료 구조에 해당하는 것은?
① 큐(Queue) ❷ 그래프(Graph)
③ 데크(Deque) ④ 스택(Stack)
18. 해싱에서 동일한 홈 주소로 인하여 충돌이 일어난 레코드들의 집합을 의미하는 것은?
① Overflow ② Bucket
❸ Synonym ④ Collision
19. 일련의 연산 집합으로 데이터베이스의 상태를 변환시키기 위하여 논리적 기능을 수행하는 하나의 작업 단위는?
① 도메인 ❷ 트랜잭션
③ 모듈 ④ 프로시저
20. 다음 내용이 설명하고 있는 기술은?

❶ Hadoop ② SQLite
③ XSQL ④ HMID
21. PE(processing element)라는 연산기를 사용하여 동기적 병렬 처리를 수행하는 것은?
① Pipeline processor ❷ Vector processor
③ Multi processor ④ VLSI processor
22. 반가산기에서 입력을 X, Y라 할 때 출력 부분의 캐리(carry) 값은?
❶ XY ② X
③ Y ④ X+Y
23. 명령어가 오퍼레이션 코드(OP code) 6비트, 어드레스 필드 16비트로 되어 있다. 이 명령어를 쓰는 컴퓨터의 최대 메모리 용량은?
① 16K word ② 32K word
❸ 64K word ④ 1M word
24. 디코더(decoder)의 출력이 4개일 때 입력개수는?
① 1 ❷ 2
③ 8 ④ 16
25. 기억장치에 기억된 정보를 액세스하기 위하여 주소를 사용하는 것이 아니라 기억된 정보의 일부분을 이용하여 원하는 정보를 찾는 것은?
① Random Access Memory ❷ Associative
③ Read Only Memory ④ Virtual Memory
26. 다음 진리표에 해당하는 논리식은?

27. Flynn의 컴퓨터 시스템 분류 제안 중에서 하나의 데이터 흐름이 다수의 프로세서들로 전달되며, 각 프로세서는 서로 다른 명령어를 실행하는 구조는?
① 단일 명령어, 단일 데이터 흐름
② 단일 명령어, 다중 데이터 흐름
❸ 다중 명령어, 단일 데이터 흐름
④ 다중 명령어, 다중 데이터 흐름
28. 다음 중 타이머에 의한 인터럽트(Interrupt)는?
① 프로그램 인터럽트 ② I/O 인터럽트
❸ 외부 인터럽트 ④ 머신 체크 인터럽트
29. DMA 제어기에서 CPU와 I/O 장치 사이의 통신을 위해 반드시 필요한 것이 아닌 것은?
① address register ② word count register
③ address line ❹ device register
30. I/O operation과 관계가 없는 것은?
① channel ② handshaking
③ interrupt ❹ emulation
31. 블루레이 디스크(Blue-ray Disc)에 관한 설명으로 틀린 것은?
❶ 저장된 데이터를 읽기 위해 적색 레이저(650nm)를 사용한다.
② 비디오 포맷은 DVD와 동일한 MPEG-2 기반 코덱이 사용된다.
③ 단층 기록면을 가지는 12cm 직경에 25GB정도의 데이터를 저장할 수 있다.
④ BD-ROM(읽기 전용), BD-R(기록가능), BD-RE(재기록가능)가 있다.
32. 기억장치를 각 모듈이 번갈아 가며 접근하는 방법은?
① 페이징 ② 스테이징
❸ 인터리빙 ④ 세그멘팅
33. 베이스레지스터 주소지정방식의 특징이 아닌 것은?
① 베이스레지스터가 필요하다.
② 프로그램의 재배치가 용이하다.
③ 다중 프로그래밍 기법에 많이 사용된다.
❹ 명령어의 길이가 절대주소지정방식보다 길어야 한다.
34. CPU 내부의 레지스터 중 프로그램 제어와 관계가 있는 것은?
① memory address register ② index register
③ accumulator ❹ status register
35. 기억장치의 구조가 stack 구조를 가질 때 가장 밀접한 관계가 있는 명령어는?
① one-address ② two-address
③ three-address ❹ zero-address
36. 시프트 레지스터(shift register)의 내용을 오른쪽으로 한 번 시프트하면 데이터는 어떻게 변하는가?
❶ 기존 데이터의 1/2 ② 기존 데이터의 1/3
③ 기존 데이터의 1/4 ④ 기존 데이터의 1/10
37. 가상기억장치에서 주소 공간이 1024K, 기억공간은 32K라고 가정할 때 주기억장치의 주소 레지스터는 몇 비트로 구성되는가?
① 12 ② 13
③ 14 ❹ 15
38. 채널(Channel)에 대한 설명으로 가장 옳지 않은 것은?
① DMA와 달리 여러 개의 블록을 입출력할 수 있다.
② 시스템의 입출력 처리 능력을 향상시키는 기능을 한다.
③ 멀티플렉서 채널은 저속인 여러 장치를 동시에 제어하는 데 적합하다.
❹ 입출력 동작을 수행하는데 있어서 CPU의 지속적인 개입이 필요하다.
39. 사이클 타임이 750ns 인 기억장치에서는 이론적으로 초당 몇 개의 데이터를 불러 낼 수 있는가?
① 약 750개 ② 약 1330개
❸ 약 1.3×106개 ④ 약 750×106개
40. 메모리 버퍼 레지스터(MBR)의 설명으로 옳은 것은?
① 다음에 실행할 명령어의 번지를 기억하는 레지스터
② 현재 실행 중인 명령의 내용을 기억하는 레지스터
❸ 기억장치를 출입하는 데이터가 일시적으로 저장되는 레지스터
④ 기억장치를 출입하는 데이터의 번지를 기억하는 레지스터
41. 4개의 페이지를 수용할 수 있는 주기억장치가 있으며, 초기에는 모두 비어 있다고 가정한다. 다음의 순서로 페이지 참조가 발생할 때, FIFO 페이지 교체 알고리즘을 사용할 경우 페이지 결함의 발생 횟수는?

① 6회 ❷ 7회
③ 8회 ④ 9회
42. 데이터 발생 즉시, 또는 데이터 처리 요구가 있는 즉시 처리하여 결과를 산출하는 방식으로 정해진 시간 내에 결과를 도출하는 시스템은?
① 분산 처리 시스템 ❷ 실시간 처리 시스템
③ 배치 처리 시스템 ④ 시분할 처리 시스템
43. 운영체제에서 스레드(Thread)의 개념으로 가장 옳지 않은 것은?
① 다중 프로그래밍 시스템에서 CPU를 받아서 수행되는 프로그램 단위이다.
② 프로세스(Process)나 태스크(Task)보다 더 작은 단위이다.
❸ 입ㆍ출력장치와 같은 자원의 할당에 관계된다.
④ 한 태스크(Task)는 여러 개의 스레드(Thread)로 나누어 수행될 수 있다.
44. 파일 디스크립터(File Descriptor)에 관한 설명으로 옳지 않은 것은?
❶ 사용자가 직접 참조할 수 있다.
② 파일마다 독립적으로 존재하며, 시스템에 따라 다른 구조를 가질 수 있다.
③ 대개 보조기억장치에 저장되어 있다가 해당 파일이 열릴(Open) 때 주기억장치로 이동한다.
④ 파일을 관리하기 위해 시스템(운영체제)이 필요로 하는 파일에 대한 정보를 갖고 있는 제어블록(FCB)이다.
45. Cryptography와 가장 관계 없는 것은?
❶ RISC ② DES Algorithm
③ Public key system ④ RSA Algorithm
46. 프로세스가 실행되면서 하나의 페이지를 일정시간 동안 집중적으로 액세스하는 현상은?
❶ 구역성(locality) ② 스래싱(thrashing)
③ 워킹세트(Working set) ④ 프리페이징(prepaging)
47. SJF(Shortest Job First) 스케줄링에서 다음과 같은 작업들이 준비상태 큐에 있을 때 평균 반환시간과 평균 대기시간은?

❶ 평균 반환시간 : 13, 평균 대기시간 : 7
② 평균 반환시간 : 13, 평균 대기시간 : 9
③ 평균 반환시간 : 15, 평균 대기시간 : 7
④ 평균 반환시간 : 15, 평균 대기시간 : 9
48. UNIX에서 파일 사용 권한 지정에 관한 명령어는?
① mv ② ls
❸ chmod ④ fork
49. 운영체제의 프로세스(Process)에 대한 설명으로 옳지 않은 것은?
❶ 트랩 오류, 프로그램 요구, 입ㆍ출력 인터럽트에 대해 조치를 취한다.
② 비동기적 행위를 일으키는 주체로 정의할 수 있다.
③ 실행중인 프로그램을 말한다.
④ 프로세스는 각종 자원을 요구한다.
50. 공유자원을 어느 시점에서 단지 한 개의 프로세스만이 사용할 수 있도록 하며, 다른 프로세스가 공유자원에 대하여 접근하지 못하게 제어하는 기법은?
❶ mutual exclusion ② critical section
③ deadlock ④ scatter loading
51. 운영체제의 역할로 가장 옳지 않은 것은?
① 사용자 인터페이스 제공
② 입ㆍ출력에 대한 보조역할 수행
③ 사용자들 간 하드웨어 자원의 공동 사용
❹ 원시프로그램을 목적프로그램으로 변환
52. HRN 스케쥴링 방식에서 입력된 작업이 다음과 같을 때 우선순위가 가장 높은 것은?

① A ② B
③ C ❹ D
53. 150K의 작업요구시 first fit과 best fit 전략을 각각 적용할 경우, 할당 영역의 연결이 옳은 것은?

❶ first fit : 2, best fit : 3
② first fit : 3, best fit : 2
③ first fit : 1, best fit : 2
④ first fit : 3, best fit : 1
54. 다음 중 교착상태가 발생할 수 있는 필요충분조건은?
① 중단 조건(Preemption)
❷ 환형 대기(Circular Wait)
③ 기아 상태(Starvation)
④ 동기화(Synchronization)
55. 기억장치의 고정 분할 할당에서 총 24K의 공간이 그림과 같이 8K, 8K, 4K, 4K로 나누어져 있고, 작업 큐에는 5K, 5K, 10K, 10K의 작업이 순차적으로 대기 중이라고 할 때 발생하는 전체 기억공간의 낭비를 계산하면?

① 6K ❷ 14K
③ 18K ④ 20K
56. 분산 처리 시스템에 대한 설명으로 옳지 않은 것은?
① 연산속도, 신뢰성, 사용 가능도가 향상된다.
② 시스템의 점진적 확장이 용이하다.
❸ 중앙 집중형 시스템에 비해 시스템 설계가 간단하고 소프트웨어 개발이 쉽다.
④ 단일 시스템에 비해 처리 능력과 저장용량이 높고 신뢰성이 향상된다.
57. Microsoft의 Windows 운영체제의 특징이 아닌 것은?
① GUI기반 운영체제이다.
② 트리 디렉터리 구조를 가진다.
③ 선점형 멀티태스킹 방식을 사용한다.
❹ 소스가 공개된 개방형(Open)시스템이다.
58. 분산운영체제에 대한 설명을 모두 옳게 나열한 것은?

① 가 ② 가, 나
③ 가, 다 ❹ 가, 나, 다
59. 전송크기가 1KB(kilo byte)일 때, 이동헤드디스크의 데이터 액세스 시간과 고정헤드의 데이터 액세스 시간(ms)을 구한 결과는?

❶ 이동헤드 : 66.96, 고정헤드 : 16.96
② 이동헤드 : 16.96, 고정헤드 : 66.96
③ 이동헤드 : 50.96, 고정헤드 : 16.96
④ 이동헤드 : 16.96, 고정헤드 : 50.96
60. 완전연결(Fully Connection)형 분산처리 시스템에 관한 설명으로 옳지 않은 것은?
① 각 사이트들이 시스템 내의 다른 모든 사이트들과 직접 연결된 구조이다.
② 하나의 링크가 고장 나더라도 다른 링크를 이용할 수 있다.
❸ 사이트 수가 n개이면 링크 연결 수는 n-1개이다.
④ 기본비용은 많이 들지만 통신비용은 적게 들고, 신뢰성이 높다.
61. 소프트웨어 프로젝트 관리의 주요 구성 요소인 3P에 해당하지 않는 것은?
① People ② Problem
③ Process ❹ Power
62. 소프트웨어 재공학의 주요 활동 중 역공학에 해당하는 것은?
① 소프트웨어 동작 이해 및 재공학 대상 선정
② 소프트웨어 기능 변경 없이 소프트웨어 형태를 목적에 맞게 수정
❸ 원시코드로부터 설계정보 추출 및 절차 설계표현, 프로그램과 데이터 구조 정보 추출
④ 기존 소프트웨어 시스템을 새로운 기술 또는 하드웨어 환경이 이식
63. 소프트웨어 프로젝트 측정에서 신뢰할만한 비용과 노력 측정을 달성하기 위한 선택사항이 아닌 것은?
❶ 프로젝트 비용과 노력측정을 위해 상대적으로 복잡한 분해기술을 이용한다.
② 프로젝트의 정확한 측정을 위해 충분한 시간을 갖고 측정한다.
③ 하나 이상의 자동화 측정도구들을 이용한다.
④ 소프트웨어 비용과 노력에 대한 실험적 모델을 형성한다.
64. 소프트웨어 위기를 가져온 원인으로 가장 옳지 않은 것은?
① 소프트웨어 규모 증대와 복잡도에 따른 개발 비용 증가
② 프로젝트 관리기술의 부재
③ 소프트웨어 개발기술에 대한 훈련 부족
❹ 소프트웨어 수요의 감소
65. 객체 지향 개념 중 하나 이상의 유사한 객체들을 묶어 공통된 특성을 표현한 데이터 추상화를 의미하는 것은?
① 메소드(method) ❷ 클래스(class)
③ 상속성(inheritance) ④ 메시지(message)
66. 객체들 간에 메시지를 주고받을 때 각 객체의 세부내용은 알 필요가 없으므로 인터페이스가 단순해지고 데이터와 데
이터를 처리하는 함수를 하나로 묶는 것을 의미하는 것은?
① abstraction ② class
❸ encapsulation ④ Inheritance
67. 소프트웨어 재공학은 어떤 유지보수 측면에서 소프트웨어 위기를 해결하기 위한 방법인가?
❶ Preventive maintenance
② Corrective maintenance
③ Perfective maintenance
④ Adaptive maintenance
68. 자료흐름도(DFD)의 작성 지침이라고 볼 수 없는 것은?
① 자료는 처리를 거쳐 변환될 때마다 새로운 명칭을 부여해야 한다.
② 자료흐름도의 최하위 처리(process)는 소단위명세서를 갖는다.
❸ 배경도(context diagram)에도 명칭과 번호를 부여해야 한다.
④ 어떤 처리(process)가 출력자료를 산출하기 위해서는 필요한 자료가 반드시 입력되어야 한다.
69. 소프트웨어 생명주기 모형 중 Spiral Model에 대한 설명으로 가장 옳지 않은 것은?
① 대규모 시스템에 적합하다.
② 개발 순서는 계획 및 정의, 위험 분석, 공학적 개발, 고객 평가 순으로 진행된다.
③ 소프트웨어를 개발하면서 발생할 수 있는 위험을 관리하고 최소화하는 것을 목적으로 한다.
❹ 개발 과정의 앞 단계가 완료되어야만 다음 단계로 넘어갈 수 있는 선형 순차적 모형이다.
70. 소프트웨어 공학에 대한 설명으로 가장 옳지 않은 것은?
① 소프트웨어의 개발, 운영, 유지보수, 그리고 폐기에 대한 체계적인 접근이다.
② 소프트웨어 제품을 체계적으로 생산하고 유지보수와 관련된 기술과 경영에 관한 학문이다.
③ 과학적인 지식을 컴퓨터 프로그램 설계와 제작에 실제 응용하는 것이며, 이를 개발 및 운영하고 유지보수 하는데 필요한 문서화 작성 과정이다.
❹ 소프트웨어의 위기를 이미 해결한 학문으로 소프트웨어의 개발만을 위한 체계적인 접근이다.
71. 구조적 분석에서 자료 사전(Data Dictionary)작성 시 고려할 사항으로 옳지 않은 것은?
① 갱신하기 쉬워야 한다.
❷ 이름이 중복되어야 한다.
③ 이름으로 정의를 쉽게 찾을 수 있어야 한다.
④ 정의하는 방식이 명확해야 한다.
72. 외계인코드(Alien Code)를 가장 잘 설명한 것은?
① 프로그램의 로직이 복잡하여 이해하기 어려운 프로그램을 말한다.
② 오류가 없어 디버깅 과정이 필요 없는 프로그램을 의미한다.
③ 사용자가 직접 작성한 프로그램을 의미한다.
❹ 아주 오래되거나 참고문서 또는 개발자가 없어 유지보수 작업이 어려운 프로그램을 의미한다.
73. 다음 중 독립적인 모듈이 되기 위해서 가장 좋은 결합도 상태는?
① control coupling ❷ stamp coupling
③ common coupling ④ content coupling
74. 소프트웨어를 재사용함으로써 얻을 수 있는 이점으로 가장 거리가 먼 것은?
❶ 새로운 개발 방법론 도입 용이
② 생산성 증가
③ 소프트웨어 품질 향상
④ 프로젝트 문서 공유
75. 소프트웨어 생명주기 모형에서 프로토타입 모형의 장점이 아닌 것은?
❶ 단기간 제작 목적으로 인하여 비효율적인 언어나 알고리즘을 사용할 수 있다.
② 개발과정에서 사용자의 요구를 충분히 반영한다.
③ 최종결과물이 만들어지기 전에 의뢰자가 최종결과물의 일부 혹은 모형을 볼 수 있다.
④ 의뢰자나 개발자 모두에게 공동의 참조 모델을 제공한다.
76. 럼바우의 객체 지향 분석에서 분석 활동의 모델링과 가장 관계없는 것은?
① 객체(object) 모델링
❷ 절차(procedure) 모델링
③ 동적(dynamic) 모델링
④ 기능(functional) 모델링
77. CASE가 제공하는 기능으로 거리가 먼 것은?
① 개발을 신속하게 할 수 있다.
❷ 개발 방법론을 생성할 수 있다.
③ 오류 수정이 쉬워 S/W 품질이 향상된다.
④ S/W개발 단계의 표준화를 기할 수 있다.
78. 자료흐름도(DFD)의 각 요소별 표기 형태의 연결이 옳지 않은 것은?
① Process : 원 ② Data Flow : 화살표
❸ Data Store : 삼각형 ④ Terminator : 사각형
79. S/W 각 기능의 원시 코드 라인수의 비관치, 낙관치, 기대치를 측정하여 예측치를 구하고 이를 이용하여 비용을 산정하는 기법은?
① Effort Per Task기법 ② 전문가 감정 기법
③ 델파이기법 ❹ LOC기법
80. 소프트웨어 품질 목표 중 사용자의 요구 기능을 충족시키는 정도를 의미하는 것은?
① Reliability ② Portability
❸ Correctness ④ Efficiency
81. 자기 정정 부호의 하나로 비트 착오를 검출해서 1bit 착오를 정정하는 부호 방식은?
① Parity code ❷ Hamming code
③ ASCII code ④ EBCDIC code
82. 패널 대역폭이 150kHz이고 S/N비가 15일 때 채널용량(kbps)은? (단, S : 신호, N : 잡음)
① 150 ② 300
❸ 600 ④ 750
83. 동일한 네트워크에 있는 목적지 호스트로 IP패킷을 직접 전달할 수 있도록 IP 주소를 MAC 주소로 변환하는 프로토콜은?
❶ ARP(Address Resolution Protocol)
② ICMP(Internet Contol Message Protocol)
③ IGMP(Internet Group Management Protocol)
④ SNMP(Simple Network Management Protocol)
84. OSI 7계층에서 TCP는 어떤 계층에 해당되는가?
① 세션 계층 ② 네트워크 계층
❸ 전송 계층 ④ 데이터 링크 계층
85. 토큰링 방식에 사용되는 네트워크 표준안은?
① IEEE 802.2 ② IEEE 802.3
❸ IEEE 802.5 ④ IEEE 802.6
86. QAM(Quadrature Amplitude Modulation)방식에서 4개의 위상과 2개의 진폭으로 구성되고 2400baud일 때 전송 속도(bps)는?
① 300 ② 4800
❸ 7200 ④ 19200
87. IPv6의 주소체계에 해당하지 않는 것은?
❶ Broadcast ② Unicast
③ Anycast ④ Multicast
88. 최단 경로 탐색에는 Bellman-Ford 알고리즘을 사용하는 거리 벡터 라우팅 프로토콜은?
① ICMP ❷ RIP
③ ARP ④ HTTP
89. ARQ(Automatic Repeat reQuest) 기법 중 오류가 검출된 해당 블록만을 재전송하는 방식으로 재전송 블록 수가 적은 반면, 수신측에서 큰 버퍼와 복잡한 논리 회로를 요구하는 기법은?
❶ Selective Repeat ARQ ② Stop and Wait ARQ
③ Go-Back-N ARQ ④ Adaptive ARQ
90. PSK에서 반송파간의 위상차를 구하는 수식은? (단, M은 진수이다.)
① π/M ② π×M
❸ 2π/M ④ 5π/2M
91. 주파수 분할 다중화 방식(FDM)에서 Guard Band가 필요한 이유는?
① 주파수 대역폭을 넓히기 위함이다.
② 신호의 세기를 크게 하기 위함이다.
❸ 채널 간섭을 막기 위함이다.
④ 많은 채널을 좁은 주파수 대역에 쓰기 위함이다.
92. X.25프로토콜의 3계층에 해당하지 않는 것은?
① 물리 계층 ② 네트워크 계층
③ 데이터링크 계층 ❹ 레코드 계층
93. 최초의 라디오 패킷(radio packet) 통신방식을 적용한 컴퓨터 네트워크 시스템은?
① DECNET ❷ ALOHA
③ SNA ④ KMA
94. 100 BASE T라고도 불리는 이더넷의 고속 버전으로 CSMA/CD 방식을 사용하며, 100Mbps의 전송 속도를 지원하는 이더넷은?
❶ Fast Ethernet ② Thick Ethernet
③ Thin Ethernet ④ Gigabit Ethernet
95. 하나의 정보를 여러 개의 반송파로 분할하고 분할된 반송파 사이의 주파수 간격을 최소화하기 위해 직교 다중화해서 전송하는 통신방식으로, 와이브로 및 디지털 멀티미디어 방송 등에 사용되는 기술은?
① TDM ② CCM
❸ OFDM ④ IHPS
96. IP(Internet Protocol) 데이터그램 구조에 포함되지 않는 것은?
① Version ❷ Reserved Len
③ Protocol ④ Identification
97. 양자화 비트수가 6비트이면 양자화 계단 수는?
① 6 ② 16
③ 32 ❹ 64
98. OSI 7계층 데이터링크 계층의 프로토콜로 맞지 않는 것은?
❶ HTTP ② HDLC
③ PPP ④ LLC
99. HDL에서 피기백킹(Piggybacking) 기법을 사용하여 데이터에 대한 확인 응답을 보낼 때 사용하는 프레임은?
① U-프레임 ❷ I-프레임
③ A-프레임 ④ S-프레임
100. 실제 전송요구가 있는 채널에만 시간 슬롯을 동적으로 할당하여 전송 효율을 높이는 방식은?
① 주파수 분할 다중화 방식
② 베이스밴드 방식
③ 광대역 대중화 방식
❹ 통계적 시분할 다중화 방식
다들 화이팅! ㅎㅎ
'기출문제 > 정보처리기사' 카테고리의 다른 글
| [정보처리기사] 2020년 3회차 필기 기출문제(정답포함) (0) | 2020.09.23 |
|---|---|
| [정보처리기사] 2020년 1,2회차 필기 기출문제(정답포함) (2) | 2020.06.30 |
| [정보처리기사] 2018년 3회차 필기 기출문제 공유 및 정답체크 (0) | 2020.05.02 |
| [정보처리기사] 2019년 2회차 필기 기출문제 공유 및 정답체크 (0) | 2020.03.01 |
| [정보처리기사] 2019년 3회차 필기 기출문제 공유 및 정답체크 (0) | 2020.02.29 |


댓글